ASINITAS Onlus is a not-for-profit organization founded in 2005. It is active in the field of education and social work. Its mission is to promote the care, education, training, sheltering and testimony of Italian and foreign adults and minors.

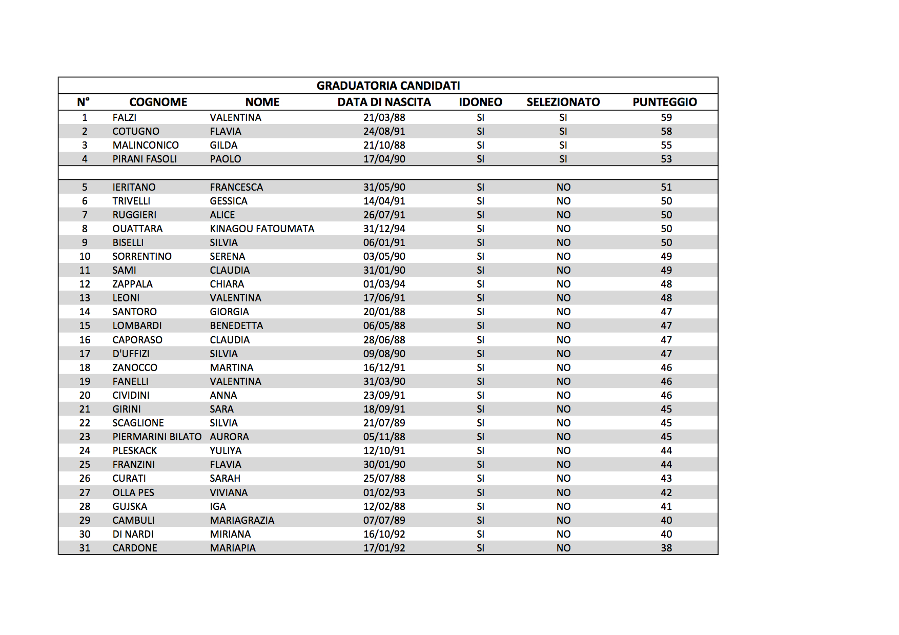
Graduatorie dei candidati per il Servizio Civile Nazionale



La tua scelta0
Non hai scelto nessun prodotto
Scegli altri prodotti
0